The first row is Row 0, representing (a + b)0.
You can scroll the triangle right and left to see the entire triangle if any part is cut off.

Configuration

Current Number of Rows: -
There is no maximum number of rows, but anything after 30 rows will not be formatted well.
Note: The first row is "row 0", so if you set the number of rows to 20, the last row will be called the 19th row, but it'll be the 20th row that you can see.

Triangle Creation Explanation

In General:

  • Pascal's Triangle can be created by placing a 1 in the first row ("row 0"). It is assumed that all empty spaces next to a 1 is a 0. The following row can be created by taking the sum of the two numbers directly above it. This will be done for each non-0 number in the row, with the starting number always being 1 and the ending number always being 1. This process will be repeated for each row until you have however many rows you want.
If you want the more technical explanation of how the Pascal's Triangle on this page was created you can read the comments inside of the createTriangle() function in the pascal.js file here.


Research Questions:

Research Question #1
What is the Binomial Expansion Theorem? Explain and show how Pascal's Triangle can be used to expand any (ax + by)n. Discuss both coefficients and degree of variables.
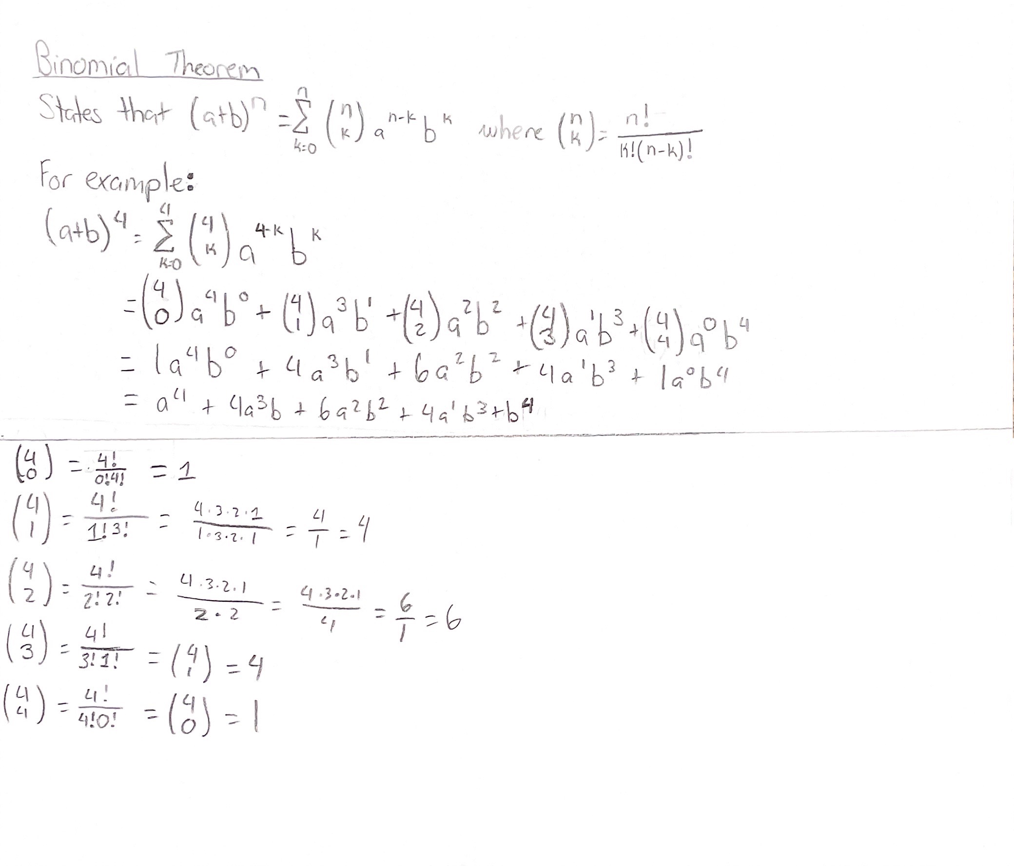
The Binomial Expansion Theorem is used to expand binomials in the form of (a+b)n. See this image for an example on using the Binomial Expansion Theorem Formula. In connection to Pascal's Triangle, given the binomial (ax + by)n where a and b equal 1, you can look at row n of Pascal's Triangle to find the coefficients of the expanded binomial expression (See Example 1). If a and b aren't equal to 1, then it's still useful, just not as straightforward (See Example 2).
For Example:
  1. Given (x+y)4 where a and b both equal 1 and n equals 4, the coefficients of the expanded binomial can be found in row 4 of Pascal's Triangle. The non-0 numbers in row 4 of Pascal's Triangle are: 1, 4, 6, 4, 1. Thus the expanded binomial is: 1x4 + 4x3y + 6x2y2 + 4xy3 + 1y4.
  2. Given (2x+2y)5 where a and b both equal 2 and n equals 5, you would first look at the 5th row of Pascal's Triangle which has the numbers 1, 5, 10, 10, 5, 1. The expanded expression would be 1(2x)5 + 5(2x)4(2y) + 10(2x)3(2y)2 + 10(2x)2(2y)3 + 5(2x)(2y)4 + 1(2y)5, which is the same as 32x5 + 160x4y + 320x3y2 + 320x2y3 + 160xy4 + 32y5.
With regards to the degree of the variables, given that the binomial is written as (x+y)n, the degree of the x variable of the first term would be the nth degree and the degree of the y variable in the first term would be the 0th degree, or no degree. The x variable begins at the nth power and goes down to the 0th power while the y variable begins at the 0th power and goes up to the nth power.
For Example:
  1. Looking back to (x+y)4, the expanded form of the binomial is the following polynomial: 1x4 + 4x3y + 6x2y2 + 4xy3 + 1y4, which is the same as 1x4y0 + 4x3y1 + 6x2y2 + 4x1y3 + 1x0y4. Notice how in the first term (1x4y0) the x variable is raised to the 4th (or the n) power, the second term (4x3y) the x variable is raised to the 3rd (or the n-1) power, so on and so forth until in the last term (1y4) the x variable is raised to the 0th power. The opposite is true for the y variable. It starts with y raised to the 0th power in the first term and goes up to the 4th (or the n) power in the last term (1x0y4).

Resources:
  1. Khan Academy: Intro to the Binomial Theorem
  2. Khan Academy: Pascal's triangle and binomial expansion
Research Question #2
Who was Blaise Pascal, and what did he do? What and how did he contribute to the field of mathematics? What social, political, or other factors influenced him and his work?
Blaise Pascal was a French mathematician, physicist, and philosopher who is known for inventing the mechanical calculator, the syringe, and the hydraulic press, and for his contributions and developments in probability theory. In the field of mathematics, his main contributions were Pascal’s triangle, which was originally written for gambling purposes, and the invention of the Pascaline, or Pascal’s calculator. When he was 3, his mother died and his father, Étienne Pascal moved to Paris with his children and decided to educate them himself, where Blaise discovered his talents and interest in mathematics and science, something that his father was also passionate about. Étienne became a French tax officer and spent countless hours calculating taxes over and over. In order to help ease his father’s workload, Blaise, who was 18 at the time, invented a calculator, although it was only capable of addition and subtraction. In 1654, Pascal wrote up Pascal’s triangle, which he called the arithmetic triangle. The concept was written several times in Asia, but Pascal was the first in the western world to come up with the idea. The triangle contained binomial coefficients and patterns that were used in algebra, probabilities, and statistics
Resources:
  1. Blaise Pascal Biography - MacTutor History of Mathematics
  2. Blaise Pascal - Wikipedia
  3. Blaise Pascal - Britannica
  4. Pascal Triangle - Wikipedia
Research Question #3
How many odd numbers are in the 100th row of the triangle? The 101st row? The 200th row? Give a general procedure for determining the number of odd numbers in the nth row of the triangle without drawing it out.
General Procedure:
To find the amount of odd numbers in any row of Pascal's Triangle, you need to find the highest power of 2 that fits into the number of rows (the value of n), subtract that amount from n, then repeat until n=0. With this, you can turn the number into its binary representation.
For Example:
  1. Given n = 100
    100 = 64+32+4
    It can be expressed as: 1(26) + 1(25) + 0(24) + 0(23) + 1(22) + 0(21) + 0(20)
    100 in Binary = 11001002
    In the binary representation of 100, there are 3 1s, therefore, there are 23 or 8 odd numbers in the 100th row of Pascal's Triangle.
  2. Given n = 101
    101 = 64+32+4+1
    It can be expressed as: 1(26) + 1(25) + 0(24) + 0(23) + 1(22) + 0(21) + 1(20)
    101 in Binary = 11001012
    In the binary representation of 101, there are 4 1s, therefore, there are 24 or 16 odd numbers in the 101st row of Pascal's Triangle.
  3. Given n = 200
    200 = 128+64+8
    It can be expressed as: 1(27) + 1(26) + 0(25) + 0(24) + 1(23) + 0(22) + 0(21) + 0(20)
    200 in Binary = 110010002
    In the binary representation of 200, there are 3 1s, therefore, there are 23 or 8 odd numbers in the 200th row of Pascal's Triangle.

Proof Of Concept:
n=
First row is n=0. So if n=20, then it'll return the results for the 21st row that you can see. If you want to double check with Pascal's Triangle, make sure you use n+1 for the number of rows in the Configuration settings. If you want to see the 15th row, you'd use n=14 here and 15 under Configuration.

Resources:
  1. Binary Calculator - calculator.net